珠海仕龙科技有限公司
革命性变化!!《建筑隔震设计规范》即将实施!!
来源: | 作者:hkwcfdf4f | 发布时间: 2018-02-06 | 494 次浏览 | 分享到:

隔震是建筑对抗地震破坏的最有效手段,《建筑隔震设计规范》的单独出炉将迎来建筑抗震设计的革命性变化。

一、抗震设计目标的巨大变化

1、原《建筑抗震设计规范》的基本设防目标:

① 当遭受低于本地区抗震设防烈度的多遇地震影响时,主体结构不受损坏或不需修理可继续使用;

② 当遭受相当于本地区抗震设防烈度的设防地震影响时,可能发生损坏,但经一般性修理仍可继续使用;

③ 当遭受高于本地区抗震设防烈度的罕遇地震影响时,不致倒塌或发生危及生命的严重破坏。

2、现《建筑隔震设计规范》的基本设防目标:

① 当遭受相当于本地区设防烈度的设防地震时,隔震建筑基本完好;

② 当遭受罕遇地震时,可能发生损坏,经修复后可继续使用;

③ 当遭受极罕遇地震时,不致倒塌或发生危及生命的严重破坏。

可以看到设防目标进行了大大的提升……


二、应用场景

① 学校、医院、重要公共建筑、高层、超高层建筑即将大规模应用。

② 既有建筑的加固、改造,尤其是历史建筑的保护应用。

 最最重要的是,按《建筑隔震设计规范》要求来建造的高档住宅将会大规模出现!!

可以预见,在市场倒逼机制下,不久的将来,住宅的隔震设计将会成为“标配”……



住房城乡建设部标准定额司

关于征求国家标准

《建筑隔震设计规范(征求意见稿)》意见的函

建标工征[2018]4号

根据住房城乡建设部《关于印发2014年工程建设标准规范制订、修订计划的通知》(建标[2013]169号)的要求,现征求由广州大学和中国建筑标准设计研究院牵头起草的国家标准《建筑隔震设计规范(征求意见稿)》(见附件)意见,请于2018年2月9日前将意见和建议反馈第一起草单位广州大学。



全文如下:


建筑隔震设计规范(征求意见稿)


前 言

根据住房城乡建设部《关于印发2014年工程建设标准规范制订修订计划的通知》(建标〔2013〕69号)的要求,编制组经广泛调查研究,认真总结实践经验,参考有关国际标准和国外先进标准,并在广泛征求意见的基础上编制而成。

本标准主要技术内容包括:总则、术语和符号、基本规定、地震作用和结构隔震验算、隔震构造要求、隔震支座要求、多层与高层建筑、大跨屋盖建筑、核电厂建筑、多层砌体房屋、既有建筑和历史建筑的隔震加固设计、村镇民居建筑。



1  总则

1.0.1 为贯彻执行国家有关建筑工程防震减灾的法律法规,实行以预防为主的防震减灾方针,使建筑物采用隔震技术后,提高建筑安全性,减轻建筑的地震破坏,避免人员伤亡和经济损失,制定本标准。

1.0.2 本标准适用于抗震设防烈度为6度及以上地区的建筑物的隔震设计及既有建筑的隔震加固设计,其他工程的隔震设计可参照本标准执行。

1.0.3 按本标准设计的隔震建筑,除有特殊要求外,其基本的设防目标是:当遭受相当于本地区设防烈度的设防地震时,隔震建筑基本完好;当遭受罕遇地震时,可能发生损坏,经修复后可继续使用;当遭受极罕遇地震时,不致倒塌或发生危及生命的严重破坏。

1.0.4 隔震建筑的结构构件、非结构构件和附属设备的使用功能有专门要求时,除满足基本设防目标外,尚应满足结构构件、非结构构件和附属设备的抗震性能设防要求。

1.0.5 甲类建筑或其他有特殊要求的建筑,根据功能要求,可采用高于本标准第1.0.3条的基本设防目标。

1.0.6 隔震建筑宜采用性能化设计。

1.0.7 一般情况下,建筑的抗震设防烈度或地震动参数,应采用现行国家标准《中国地震动参数区划图》GB 18306-2015确定的地震基本烈度或地震动参数。

1.0.8 建筑的隔震设计,除应符合本标准外,尚应符合国家现行有关标准的规定。


2术语和符号

2.1 术语

2.1.1 隔震建筑

在建筑物中设置隔震装置而形成的结构体系。包括上部结构、隔震层、下部结构和基础。隔震房屋和隔震结构的定义与此相同。

2.1.2 隔震层

设置在被隔震的上部结构与下部结构或基础之间的全部隔震装置的总称。包括全部隔震支座、阻尼装置、抗风装置、限位装置、抗拉装置、附属装置及相关的支承或连接构件。

2.1.3 上部结构

隔震结构中位于隔震层以上的部分。

2.1.4 下部结构

隔震结构中位于隔震层以下的部分,不包括基础。

2.1.5 等效阻尼比 

隔震结构往复运动时,相对于隔震层或隔震支座某特定水平位移,与隔震层(或隔震支座)所耗散的能量相对应的阻尼比。

2.1.6 等效刚度

隔震结构往复运动时,相对于隔震层或隔震支座)某特定水平位移,隔震层或隔震支座)所承受的荷载与相应位移的比值。其值可取荷载—位移曲线在对应位移点的割线刚度。

2.1.7 阻尼装置

设置在隔震层的吸收并耗散地震输入能量而使隔震层振动位移反应衰减的装置。

2.1.8 抗风装置

隔震结构中抵抗风荷载的装置。可以是隔震支座的组成部分,也可以单独设置。

2.1.9 抗拉装置

隔震结构中抵抗拉应力的装置。隔震支座出现拉应力时采用。

2.1.10 限位装置

限制隔震层在最不利状态下产生超过水平容许位移的装置。

2.1.11 摩阻力

弹性滑板隔震支座和摩擦摆隔震支座的摩擦阻力。

2.1.12 橡胶隔震支座

在地震区,用于房屋、桥梁或其他结构隔震的橡胶支座,包括天然橡胶支座LNR、铅芯橡胶支座LRB、高阻尼橡胶支座HDR。

2.1.13 弹性滑板隔震支座

由弹性材料与摩擦滑板组成的隔震支座。

2.1.14 摩擦摆隔震支座

具有特定形状的固体块在弧面板中摩擦摆动的隔震支座,通过滑动界面摩擦消耗地震能量。

2.1.15 弹簧隔震支座

具有隔离并衰减震动功能的钢制弹簧支撑元件

2.1.16 底部剪力比

设防烈度地震作用下,建筑结构隔震后与隔震前隔震层上部结构底部剪力之比值。

2.1.17 屋盖隔震

隔震层设置在建筑物顶层屋盖与柱顶之间的隔震形式。

2.1.18 极限安全地震动

核电厂设计基准地震动的较高水准,是对应极限安全要求的地震动,通常为预估的核电厂所在地区可能遭遇的最大潜在地震动,对应的年超越概率为10-4。

2.1.19 运行安全地震动

核电厂设计基准地震动的较低水准,该地震动主要用于核电厂运行安全控制、设计中的荷载组合与应力分析等。

2.1.20 简易隔震支座

质量轻、无传统隔震支座复杂连接构造的隔震支座。

2.1.21 天然橡胶隔震支座

     支座中的弹性材料为天然橡胶的橡胶隔震支座

2.1.22 铅芯橡胶隔震支座

支座中含有铅芯的橡胶隔震支座

2.1.23 高阻尼橡胶隔震支座

支座中的弹性材料为高阻尼橡胶的橡胶隔震支座


2.2 主要符号

2.2.1 作用和作用效应

 D —— 永久荷载;

 E —— 极限安全地震作用;


3  基本规定

3.1 一般要求

3.1.1 隔震建筑的抗震设防类别应按现行国家标准《建筑工程抗震设防分类标准》GB 50223的规定确定。甲类建筑宜按本地区设防烈度提高一度的要求进行设计。

3.1.2 隔震建筑结构适用的高宽比和最大高度宜满足相应抗震结构类型的要求;对有特殊要求的结构应进行专门研究和论证,并采取有效安全措施。

3.1.3 隔震建筑设计,应根据建筑抗震设防类别、设计地震动参数、场地条件、建筑结构类型和使用要求,确定合理的隔震方案。

3.1.4 建筑隔震结构,应按设防地震、罕遇地震、极罕遇地震三水准进行设计。除本标准特别规定外,在设防地震作用下,应进行结构以及隔震支座的承载力和变形验算;在罕遇地震作用下,应进行结构以及隔震支座的变形验算,并对隔震支座的承载力进行验算;在极罕遇地震作用下,应进行隔震支座的变形验算,对甲类和房屋高度超过24m的乙类建筑或有较高要求的建筑还需对结构进行变形验算。

3.1.5 隔震层中承重构件,包括隔震支座、支墩、支柱及连接件等的设计使用年限不应低于建筑结构的设计使用年限。隔震层中的非承重构件或部件的设计使用年限若低于建筑结构的设计使用年限时,在设计中应注明并预设可更换措施。


3.2 场地、地基和基础

3.2.1 隔震建筑的场地宜选择对抗震有利地段,避开不利地段,当无法避开时应采取有效的措施。不应选择危险地段。

3.2.2 建筑场地宜为I、II、III类,当场地为IV类时,应采取有效措施。

3.2.3 隔震建筑的地基应稳定可靠,对不满足要求的地基,应进行详细的结构分析并采取可靠的措施。核电厂应选取岩性地基。

3.2.4 隔震建筑地基基础的设计和抗震验算,应满足本地区抗震设防烈度按隔震结构地震作用计算的要求。

3.2.5 隔震建筑地基基础的抗震措施,应满足本地区抗震设防烈度相应的抗震措施要求。对甲类建筑、乙类建筑的抗液化措施,应按提高一个液化等级确定,直至全部消除液化沉陷。


3.3 试验和观测

3.3.1 对甲类隔震建筑、体型复杂或有特殊要求的隔震建筑,宜采用结构模型的模拟地震振动台试验对隔震方案进行验证。

3.3.2 对较重要或有特殊要求的隔震建筑,应设置地震反应观测系统。对核电厂隔震结构,尚应设置地震监测与报警系统。


4  地震作用和结构隔震验算

4.1 一般规定

4.1.1 隔震建筑的地震作用,应符合下列规定:

1 一般情况下,应在至少包含两个主轴方向的多个方向上分别计算建筑结构的水平地震作用,各方向的水平地震作用应由该方向抗侧力构件承担;

2 有斜交抗侧力构件的结构,当相交角度大于15°时,应分别计算各抗侧力构件方向的水平地震作用。

3 对平面不规则建筑,应计入双向水平地震作用下的扭转影响;其他情况,可采用调整地震作用效应的方法计入扭转影响。

4 8度和9度时的长悬臂或大跨结构,及9度时的高层建筑结构,应计算竖向地震作用。

4.1.2 隔震结构分析模型,应符合下列规定:

1 所选取的分析模型应能准确反映结构中构件的实际受力状况;

    2 隔震层上部和下部结构可选多质点系、空间杆系、空间杆-墙板元或壳元、连续体及其它组合有限元等计算模型;

3 隔震层的隔震支座和阻尼器应选择能正确反映其特性的计算单元。

4.1.3 隔震结构地震作用计算,除特殊要求外,可采用下列方法:

1房屋高度不超过24米、上部结构以剪切变形为主、质量和刚度沿高度分布比较均匀且隔震支座类型单一的隔震建筑,可采用底部剪力法;

2 除1款外的隔震结构应采用振型分解反应谱法;

3对于高度大于60米,体型不规则,隔震层隔震支座、阻尼装置及其他装置的组合比较复杂的隔震建筑,尚应采用时程分析法进行补充计算。每条时程曲线计算所得结构底部剪力不应小于振型分解反应谱法计算结果的65%,多条时程曲线计算所得结构底部剪力的平均值不应小于振型分解反应谱法计算结果的80%。

4.1.4 当隔震结构处于发震断层5km以内时,其水平地震作用计算应考虑近场影响,乘以增大系数。对设防烈度8度及以上时,2km以内宜取1.5,2km以外可取不小于1.25。


4.2设计反应谱和地震动输入

4.2.1 当隔震结构的阻尼比为0.05时的地震影响系数,应根据烈度、场地类别、特征周期和隔震结构自振周期按图4.2.1采用,其最大值αmax应按表4.2.1采用。

    场地特征周期应按现行国家标准《建筑抗震设计规范》GB50011-2010的有关规定确定,罕遇地震和极罕遇地震作用时,场地特征周期应分别增加0.05s和0.10s。

4.2.2 隔震结构自振周期、等效刚度和等效阻尼比,应根据隔震层中隔震装置及阻尼装置经试验所得滞回曲线,对应不同地震烈度作用时的隔震层水平位移值计算,并应符合下列规定:

1对采用底部剪力法计算并仅采用橡胶隔震支座的建筑隔震结构,隔震层橡胶隔震支座水平剪切位移在设防地震作用时可取100%,罕遇地震作用时可取250%,极罕遇地震作用时可取400%;

2除1款以外的建筑隔震结构,可按对应不同地震烈度作用时的设计反应谱进行迭代确定,也可采用时程分析法计算取值。

4.2.3 当隔震结构的阻尼比不等于0.05时,其水平地震影响系数α曲线应按本标准图4.2.1确定;形状参数应按下列规定调整:

1曲线下降段的衰减指数应按下式确定:

式中: γ ——曲线下降段的衰减指数;

ζ ——阻尼比,取隔震结构振型阻尼比。

2 阻尼调整系数应按下式确定:

式中: ——阻尼调整系数,当小于0.55时,应取0.55。


4.2.4 隔震结构采用时程分析方法计算时,地震动加速度时程曲线的选择合成,应符合下列规定:

1实际强震记录地震动加速度时程曲线,应根据地震烈度、设计地震分组、场地类别进行归类,并依据相似原则进行选择。人工模拟地震动加速度时程曲线,应满足设计反应谱的基本要求。设计地震加速度峰值应按表4.2.4采用。

2一般情况下,多组时程曲线的平均地震影响系数曲线应与振型分解反应谱所采用的地震影响系数曲线在统计意义上相符。实际强震记录地震动加速度时程曲线在对应于隔震结构主要振型对应周期点附近时,每条实际强震记录对应的反应谱与设计反应谱的谱值最大偏差不应超过20%; 所合成的人工模拟加速度时程曲线对应的反应谱与设计反应谱在对应于隔震结构各周期点的偏差平均值不宜大于5%,最大偏差不宜大于10%。在人工模拟地震动加速度合成时,宜考虑不同阻尼比对反应谱的影响和天然相位信息的非平稳特征对结构响应的影响。


4.3.1 采用底部剪力法时,隔震房屋上部结构的地震作用标准值,应按下列规定计算:

1 结构总水平地震作用标准值,应按下列公式计算:

G —— 上部结构总重力荷载代表值(kN),等于集中于各质点重力荷载代表值之和;集中于各质点的重力代表值应按现行国家标准《建筑抗震设计规范》GB50011的规定计算。

2 质点i的水平地震作用标准值,可按下式计算:


4.3.2 采用振型分解反应谱法时,应对隔震层与上部结构进行整体分析,其中隔震体系的非线性可按等效线性化的迭代方式考虑,且地震作用和作用效应的计算应符合下列规定:

    1对不进行扭转耦联计算的隔震结构,应按下列规定计算其地震作用效应:

1) 结构j振型i质点的水平地震作用标准值,应按下式确定:


3当隔震层阻尼比小于10%,且高度不超过24m、上部结构以剪切变形为主、质量和刚度沿高度分布比较均匀且隔震支座类型单一的隔震建筑,可采用本标准附录A.03的公式进行计算。

4.3.3 当采用时程分析法时,计算模型的确定应符合下列规定:

1 对甲类、乙类或丙类不规则隔震建筑,隔震体系的计算模型宜考虑结构杆件的空间分布、隔震支座的位置、隔震房屋的质量偏心、在两个水平方向的平移和扭转、隔震层的非线性阻尼特性以及荷载-位移关系特性。

2 对丙类规则隔震建筑,可采用层间模型。

3 在设防地震作用下,隔震房屋上部和下部结构的荷载—位移关系特性可采用线弹性力学模型;隔震层应采用隔震产品试验提供的滞回模型,按非线性阻尼特性以及非线性荷载-位移关系特性进行分析。在罕遇和极罕遇地震作用下,隔震房屋上部和下部结构宜采用弹塑性分析模型。

4 隔震支座单元应能够模拟隔震支座水平非线性和竖向非线性特性;计算分析时,按实际荷载工况顺序依次加载,即采用非线性组合法。

4.3.4 采用时程分析法时,应选用足够数量的实际强震记录加速度时程曲线和人工模拟地震动加速度时程曲线进行输入。宜选取不少于2组人工模拟加速度时程曲线和不少于5组实际强震记录加速度时程曲线。地震作用取7组加速度时程曲线计算结果的平均值。

4.3.5 采用振型分解法和时程分析法同时计算时,地震作用应取时程分析法与振型分解反应谱法的包络值。

4.3.6 对甲类和房屋高度超过24m的乙类隔震建筑,宜采用不少于两种程序对地震作用计算结果进行比较分析。

4.3.7 9度抗震设防的隔震高层建筑,竖向地震作用的计算应符合下列规定:

1采用振型分解反应谱法计算竖向地震作用时,其竖向地震影响系数最大值可采用本标准第4.2.1条规定的水平地震影响系数最大值的65%,但特征周期可均按设计地震第一组采用。

2一般情况下,计算竖向地震作用下隔震层以上结构的竖向地震作用标准值时,可视各楼层为质点;楼层的竖向地震作用效应标准值可按各构件承受的重力荷载代表值的比例分配,并宜乘以增大系数1.5(图4.3.7)。竖向地震作用标准值应按下列公式确定:

3隔震层竖向阻尼比取值可取上部结构阻尼比,且不宜大于0.05。

4.3.8对于长悬臂和大跨结构的竖向地震作用标准值,8度(0.20g)、8度(0.30g)、9度(0.40g)时分别不应小于该结构、构件重力荷载代表值的20%、30%、40%。


4.4构件截面设计

4.4.1 隔震建筑结构构件的承载力应按下列公式验算:

持久设计状态、短暂设计状态

4.4.3 持久设计状况和短暂设计状况下,荷载基本组合的分项系数应按下列规定采用:

1 永久荷载的分项系数YG,其效应对结构承载力不利时,对由可变荷载效应控制的组合应取1.2,对由永久荷载效应控制的组合应取1.35;当其效应对结构承载力有利时,应取1.0;

2 楼面活荷载的分项系数YQ,一般情况下应取1.4;

3 风荷载的分项系数YW应取1.4。

4.4.4 地震设计状况下,隔震结构构件设计采用不计入风荷载效应的地震基本组合,并根据本标准第1.0.3条的设防目标进行设防地震作用下的承载力设计。

4.4.5 在设防地震作用下,隔震结构构件的设计应符合下列规定,并按表4.4.5采用:

1关键构件的抗震承载力应符合下式规定:


4.5上部结构变形验算

4.5.1 上部结构在设防地震作用下,结构楼层内最大的弹性层间位移应符合下式规定:


4.6 隔震层设计


4.6.1 隔震层设计应符合下列规定:

1 阻尼装置、抗风装置、限位装置可与隔震支座合为一体,亦可单独设置;

2同一建筑隔震层选用多种类型、规格的隔震装置时,每个隔震装置的承载力和水平变形能力应能充分发挥。所有隔震装置的竖向变形应保持一致,在重力荷载代表值作用下的竖向变形值与平均变形值的偏差不宜大于30%;

    3当隔震层采用隔震支座和阻尼器时,应确保隔震层在地震后基本恢复原位,在罕遇地震作用下其总水平弹性恢复力与总水平摩阻力之比不应小于1.2。

4.6.2 隔震层的布置,应符合下列规定:

1 隔震层宜设置在结构的底部或中下部,其隔震支座应设置在受力较大的位置,隔震支座的规格、数量和分布应根据竖向承载力、侧向刚度和阻尼的要求由计算确定;

2 隔震层刚度中心宜与质量中心重合,偏心率不应大于3%;

3 隔震支座的平面布置宜与上部结构和下部结构中竖向受力构件的平面位置相对应,当不对应时应采用结构转换措施;

 4隔震支座底面宜布置在相同标高位置上;当隔震层的隔震装置处于不同标高时,应保证隔震装置共同工作,在罕遇地震作用下,不同标高的相邻隔震层的层间剪切位移角不应大于1/2000;

5 同一支承处采用多个隔震支座时,隔震支座之间的净距不应小于安装和更换所需的空间尺寸;

6 宜在建筑中合理布置隔震层的阻尼装置或抗风装置。

4.6.3 隔震层的橡胶隔震支座的压应力和水平位移,应符合下列规定:

1 橡胶隔震支座在重力荷载代表值作用下的竖向压应力设计值,不应超过表4.6.3-1的规定;滑板隔震支座在重力荷载代表值作用下的竖向压应力设计值不应超过表4.6.3-2的规定;

2 橡胶隔震支座在表4.6.3-1所列的压应力下的设计极限水平位移,不应大于其有效直径的0.55倍和支座内部橡胶总厚度3.0倍二者的较小值;其破坏极限水平位移不应大于支座内部橡胶总厚度4.0倍;

3在经历相应设计基准期的耐久性试验后,橡胶隔震支座刚度、阻尼特性变化不应超过初期值的±20%;徐变量不应超过支座内部橡胶总厚度的5%;

4隔震支座压应力限值应符合表4.6.3-1、4.6.3-2规定。对于橡胶隔震支座,竖向压应力设计值应按永久荷载和可变荷载的组合计算,楼面活荷载应按现行国家标准《建筑结构荷载规范》GB 50009的规定乘以折减系数;当橡胶隔震支座的第二形状系数小于5.0时,应降低平均压应力限值:小于5不小于4时降低20%,小于4不小于3时降低40%;外径小于300mm的橡胶隔震支座,丙类建筑的压应力限值为10MPa。对于弹性滑板隔震支座,橡胶支座部及滑移材料的压应力限值均应满足该表,隔震支座部外径不宜小于300mm。

2 由试验确定隔震支座设计参数时,竖向荷载应采用本标准表4.6.3-1、4.6.3-2规定的压应力限值;滞回曲线应按隔震层中全部隔震装置经试验得到。计算对应不同地震烈度作用时的隔震层水平位移值后,求得隔震层的等效刚度和等效阻尼比。

4.6.5罕遇地震、极罕遇地震作用下隔震支座的水平位移可根据以下原则确定:

1按基于振型分解法和时程分析法对隔震体系整体分析得到的隔震层实际位移幅值确定;

4.6.8隔震房屋抗倾覆验算应符合下列规定:

1隔震房屋抗倾覆验算应进行结构整体抗倾覆验算和隔震支座拉压承载能力验算;

2 结构整体抗倾覆验算时,应按罕遇地震作用计算倾覆力矩,并按上部结构重力代表值计算抗倾覆力矩,抗倾覆力矩与倾覆力矩之比不应小于1.2;

3 隔震层在罕遇地震下应保持稳定,不宜出现不可恢复的变形。橡胶支座在罕遇水平和竖向地震共同作用下,其最大拉、压应力应满足本标准第7.2.1条的要求。

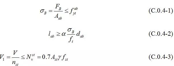
4.6.9隔震支座连接预埋件和连接螺栓的验算,应取支座在轴向压力、轴向拉力、水平剪力和弯矩共同作用下的受力状态,宜按本标准附录C的规定验算。

4.7隔震层下部结构

4.7.1 隔震层下部结构的承载力验算,应考虑上部结构传来的轴力、弯矩、水平剪力以及由隔震层水平变形产生的附加弯矩,可按本标准附录C规定计算。

4.7.2隔震层支墩、支柱及相连构件,应采用在罕遇地震下隔震支座底部的竖向力、水平力和弯矩进行承载力验算。

4.7.3 隔震层以下的地下室或隔震塔楼下的底盘中直接支撑塔楼结构及其相邻一跨的相关构件,应满足设防地震烈度下的抗震承载力要求,层间位移角限值应满足表4.7.3-1的要求。隔震层以下地面以上的结构在罕遇地震下的层间位移角限值应满足表4.7.3-2的要求。甲乙类建筑尚需进行极罕遇地震作用下的变形验算,其层间位移角限值应满足表4.7.3-3的要求。


5隔震构造要求

5.1 一般规定

5.1.1在按本标准第4.6.6条规定设计的隔震层最大变形范围内,隔震结构构造应不阻碍隔震层的正常隔震变形。

5.1.2当门厅入口、室外踏步、室内楼梯、电梯、地下室坡道、车道入口处等穿越隔震层时,不得有任何固定物对上部结构的水平隔震移动形成阻挡,防止产生可能的碰撞。穿越隔震层的楼梯及楼梯扶手在适当部位应断开,并采取有效措施防止断开部分发生碰撞。

5.1.3 可采用相应的限位措施对隔震层超出最大变形设计范围时进行限位保护。

5.1.4隔震层设置在有耐火要求的使用空间时,隔震支座和其它部件应根据使用空间的耐火等级采取相应的防火措施。

5.1.5隔震支座应留有便于观测和维修更换隔震支座的空间,并设置必要的照明、通风等设施。

5.1.6 竖向电梯井穿过隔震层时,可采用悬吊式方案,在罕遇地震作用下,电梯井悬吊部分上下端的层间位移角对于混凝土结构不应大于1/500,对于钢结构不应大于1/200。

5.1.7电梯井周边应留有足够空间以满足上部结构水平位移、检修及清理的要求,在电梯井出入口与外部地面之间应设置滑动盖板。


5.2 隔震支座与结构的连接

5.2.1除有特殊规定外,隔震支座与上部结构及下部结构应有可靠的连接,连接的极限强度应高于隔震支座的破坏强度。

5.2.2隔震层顶板,应采用现浇梁板结构,在罕遇地震作用下应保持弹性板厚不应小于160mm。

5.2.3 隔震支墩的柱头应有防止局部受压破坏的构造措施。

5.2.4预埋件的锚固钢筋应与钢板牢固连接。外露的预埋件应按现行行业标准《建筑钢结构防腐蚀技术规程》JGJ/T 251-2011进行防锈处理。隔震支座外露的金属部件表面应按现行行业标准《建筑钢结构防腐蚀技术规程》JGJ/T 251-2011进行防腐处理。


5.3 上部结构与室外的连接

5.3.1上部结构及隔震层部件应设置竖向隔离缝与周围固定物隔开,与周围固定物的隔离距离不应小于隔震层在罕遇地震下最大水平位移的1.2倍,且不应小于300mm。隔离缝或隔离沟顶部宜设置滑动盖板。滑动盖板应满足最大水平位移的往复移动要求。

5.3.2 上部结构与下部结构之间应设置完全贯通的竖向隔离缝,水平隔离缝高度宜不小于20mm,并应采用柔性材料填塞,进行密封处理。


5.4 穿过隔震层的管线

5.4.1 柔性管线在隔震层处预留的伸展长度不应小于隔离缝宽度的1.4倍。

5.4.2重要管道、可能泄露有害介质或可燃介质的管道,隔震层处应采用柔性接头或柔性连接段,预留的伸展长度不应小于隔离缝宽度的1.4倍。

5.4.3 利用构件钢筋作避雷针时,应采用柔性导线连接隔震层上部结构和下部结构的钢筋。其预留的伸展长度不应小于隔离缝宽度的1.4倍。


5.5 结构变形缝

5.5.1 隔震结构隔震层顶板混凝土温度缝间距可比现行国家标准《建筑抗震设计规范》GB 50011的规定可适当延长。

5.5.2 当结构变形缝没有贯穿隔震层顶板时,缝宽按现行国家标准《建筑抗震设计规范》GB50011的规定确定;当变形缝贯穿隔震层顶板时,缝宽应取相邻建筑最大水平位移之和的1.2倍,且不小于600mm。


5.6 检查口及隔震标识

5.6.1 隔震层应设置进人检查口。

5.6.2进人检查口的尺寸应便于人员进入,且满足运输隔震支座、连接板及其它施工器械的要求。

5.6.3隔震建筑应设置标识,标识内容应包括:

1 隔震装置(含隔震支座、阻尼器或其他装置)的型号,规格及维护要求;

2 隔离沟、隔离缝的检查及维护要求。


6  隔震支座要求

6.1 一般规定

6.1.1隔震层设计时,隔震支座应符合下列规定: 

1 隔震支座的性能参数及滞回曲线应经对所用产品试验确定;

2 隔震支座的设置部位,除按计算确定外,尚应便于检查和替换;

3 设计文件上应注明对支座的性能要求,安装前应具有相关产品的第三方型式检验报告及按规定进行第三方出厂检测。

6.1.2隔震支座整体设计使用年限不应低于隔震结构的设计使用年限应不小于50年。

6.1.3 隔震支座的产品要求除满足本标准相关要求外,尚须符合现行国家标准《橡胶支座 第3部分 建筑隔震橡胶支座》GB 20688.3的规定。


6.2 隔震支座性能及检验要求

6.2.1隔震结构中使用的隔震支座包括:天然橡胶隔震支座LNR,铅芯橡胶隔震支座LRB,高阻尼橡胶隔震支座HDR,弹性滑板隔震支座ESB,弹簧隔震支座 SI,摩擦摆隔震支座FPS或其他隔震支座。

6.2.2隔震层中的隔震支座的产品应进行型式检验和出厂检验,全部检验应由独立于生产厂家的第三方完成。除满足相关的产品要求外,使用产品的型式检验报告有效期不得超过6年。出厂检验报告只对采用该产品的项目有效,不得重复使用。

6.2.3隔震层中的隔震支座等安装前应进行第三方出厂检验,隔震支座检测数量应按照现行国家标准《橡胶支座 第3部分 建筑隔震橡胶支座》GB 20688.3第9.3.2,9.3.3条的规定进行。

6.2.4隔震支座检验时,剪切性能应考虑温度修正和加载频率修正。


6.3 连接构造设计计算

6.3.1隔震支座连接螺栓和连接板设计应符合符合现行国家标准《橡胶支座 第3部分 建筑隔震橡胶支座》GB 20688.3附录G的规定;

6.3.2支座预埋件设计应符合现行国家标准《混凝土结构设计规范》GB 50010的要求,荷载取值应取隔震结构在罕遇地震作用下最不利荷载效应的标准值。


7  多层与高层建筑

7.1 一般规定

7.1.1 本章适用于多高层钢筋混凝土结构、钢结构和钢-混凝土混合结构的隔震建筑。隔震建筑的最大适用高度宜符合表7.1.1-1、7.1.1-2和表7.1.1-3的要求。

7.1.2 隔震建筑的高宽比宜满足相应抗震结构类型的要求。隔震结构高宽比计算时,其高度应取隔震层以上结构的高度。

7.1.3隔震建筑结构的抗震措施,可按底部剪力比及相应地震烈度确定,并应符合现行国家标准《建筑抗震设计规范》GB50011相应设防烈度的要求及下列规定:

1底部剪力应为结构隔震后与隔震前的上部结构底部剪力之比。隔震结构底部剪力比大于0.5时,隔震结构应按本地区设防烈度采取相应的抗震措施。并符合现行国家标准《建筑抗震设计规范》GB50011的规定;

2 隔震结构底部剪力比不大于0.5时,隔震层以上结构可降低按本地区设防烈度采取的抗震措施,但烈度降低不得超过1度。并应符合本标准7.3节的要求;

3与竖向地震作用有关的抗震措施应满足本地区设防烈度的要求,不得降低。

7.1.4. 隔震层以下结构抗震措施应按下列要求采用,并应符合现行国家标准《建筑抗震设计规范》GB50011的规定:

1 位于隔震层以下地面以上的结构抗震措施,在设防烈度为6、7度时,抗震等级按框架二级、抗震墙一级确定,8、9度时抗震等级按框架一级、抗震墙一级确定。投影范围以外结构抗震等级按抗震建筑采用;

2 地下室地下一层抗震等级应与地面上一层相同,以下各层结构构造措施可逐渐降低。地下室顶为隔震层时,地下室抗震等级应与隔震层上一层抗震等级相同;

3 基础隔震时,地下室抗震等级按本标准第7.1.3条采用。


7.2 隔震层设计

7.2.1隔震层的橡胶隔震支座在罕遇地震作用下的最大竖向压应力,不应超过表7.2.1-1所规定的限值;弹性滑板隔震支座在罕遇地震作用下的最大竖向压应力,不应超过表7.2.1-2所规定的限值。橡胶隔震支座在罕遇地震下不宜出现竖向拉应力,当不可避免受拉时,其竖向拉应力不应超过表7.2.1-3所规定限值。出现拉应力的支座数量不宜超过支座总数的30%,弹性滑板隔震支座必须保持受压状态。橡胶隔震支座的直径小于300mm时其压应力限值可适当降低。

7.2.2隔震层的橡胶隔震支座在罕遇地震、极罕遇地震作用下的水平位移,应符合本标准第4.6.6条的规定。隔震层的弹性滑板隔震支座在罕遇地震、极罕遇地震作用下考虑扭转影响的水平位移,不应超过支座水平位移的限值。当隔震层中有多种规格的支座时,应根据最小支座确定隔震层位移。

7.2.3隔震建筑内部放置对振动有特殊要求的仪器设备,需限制楼层绝对加速度响应时,楼层振动加速度不应大于相应仪器设备的容许加速度,容许加速度应符合现行国家标准《建筑工程容许振动标准》GB50868的要求。


7.3 结构设计

7.3.1 隔震层顶部楼盖宜符合下列规定:

1 隔震层顶部楼盖的刚度和承载力宜大于一般楼面的刚度和承载力;

2隔震支座和阻尼装置与建筑结构之间的连接件,应能传递罕遇地震下隔震支座和阻尼装置产生的最大水平剪力和弯矩;

3 与隔震支座相连的支墩、支柱及相连构件应计算抗冲切和局部承压,加密箍筋并根据需要配置网状钢筋。

7.3.2 除建筑顶层、轴压比小于0.15的柱及框支梁柱节点外,框架的梁、柱节点处考虑地震作用组合的柱端弯矩设计值,应符合下列规定:

7.3.4 与转换构件相连的转换柱的上端截面的弯矩组合值应乘以增大系数1.5。

7.3.5 框架角柱及转换角柱按本标准第7.3.2 ~7.3.3条调整后的弯矩、剪力设计值应乘以不小于1.1的增大系数,并应按双向偏心受力构件进行正截面承载力设计。

7.3.6 框架梁端部截面组合的剪力设计值,应按下式计算:

7.3.10 隔震结构抗震计算时,侧向刚度沿竖向分布基本均匀的框架抗震墙结构和框架核心筒结构,任一层框架部分承担的剪力值,不应小于结构底部总地震剪力的20%和按框架-抗震墙结构、框架-核心筒结构计算的框架部分各楼层地震剪力中最大值1. 5 倍二者的较小值。


7.3.11 隔震结构抗震计算时,钢框架-支撑结构的框架部分按刚度分配计算得到的地震层剪力应乘以调整系数,达到不小于结构底部总地震剪力的 25% 和框架部分计算最大层剪力1. 8倍二者的较小值。


7.3.12 部分框支剪力墙结构中框支柱承受的最小地震剪力,当框支柱的数量不少于10 根时,柱承受地震剪力之和不应小于结构底部总地震剪力的20%; 当框支柱的数量少于10 根时,每根柱承受的地震剪力不应小于结构底部总地震剪力的 2% 。


7.3.13 双肢抗震墙中各墙肢截面组合的内力设计值,墙肢不宜出现小偏心受拉;当任一墙肢为偏心受拉时,另一墙肢的剪力设计值、弯矩设计值应乘以增大系数1. 25。


7.3.14 竖向不规则的隔震建筑结构,应采用空间结构计算模型,刚度小的楼层的地震剪力应乘以不小于1. 15 的增大系数,其薄弱层应按本标准第四章规定进行弹塑性变形分析,并应符合下列规定:

1. 竖向抗侧力构件不连续时,该构件传递给水平转换构件的地震内力应根据烈度高低和水平转换构件的类型、受力情况、几何尺寸等,乘以1. 25~2. 0的增大系数;

2. 楼层承载力突变时,薄弱层抗侧力结构的受剪承载力不应小于相邻上一楼层的 65% ;

3. 特别不规则的建筑,应经专门研究,采取更有效的加强措施或对薄弱部位采用相应的抗震性能设计方法。


7.3.15 隔震结构设计时,钢筋混凝土柱考虑设防地震组合作用的轴压比按式(7.3.15-1)计算,宜符合下列规定且不宜超过本标准表7.3.15的限值:

1 钢筋混凝土柱轴压比限值适用于剪跨比大于2、混凝土强度等级不高于C60的柱;剪跨比不大于2的柱,轴压比限值应降低0.05,剪跨比小于1.5的柱,轴压比限值应专门研究;

2 钢筋混凝土柱轴压比限值适用于混凝土强度等级不高于C60的柱。当混凝土强度等级为C65~C70时,轴压比限值应比表中数值降低0.05;当混凝土强度等级为C75~C80时,轴压比限值应比表7.3.15数值降低0.10;

3 沿柱全高采用井字复合箍且箍筋肢距不宜大于200mm、间距不宜大于100mm,直径不宜小于12mm;或沿柱全高采用复合螺旋箍、螺旋间距不宜大于100mm、箍筋肢距不宜大于200mm、直径不宜小于12mm;或沿柱全高采用连续复合矩形螺旋箍、螺旋净距不宜大于80mm、箍筋肢距不宜大于200mm、直径不宜小于10mm,轴压比限值均可增加0.10;上述三种箍筋的最小配箍特征值均应按增大的轴压比由相关规范确定;

4 在柱的截面中部附加芯柱,其中另加的纵向钢筋的总面积不少于柱截面面积的0.8%,轴压比限值可增加0.05,此项措施与第3条措施共同采用时,轴压比限值可增加0.15 ,但箍筋的体积配箍率仍可按轴压比增加 0.10 的要求确定;

5 柱轴压比不应大于1.05。

7.3.16 隔震结构设计时,型钢混凝土柱的轴压比宜符合下列规定且不宜大于表7.3.16的限值:

1 框支层的型钢柱轴压比应比表7.3.16中数值减少0.10 采用;

2 剪跨比不大于2 的型钢柱,其轴压比应比表7.3.16中数值减少0.05 采用;

3 当采用C60 以上混凝土时,型钢柱轴压比宜减少0.05。

2 抗震墙竖向和横向分布钢筋,抗震等级一、二、三级时竖向和横向分布钢筋最小配筋率不应小于0.25%,抗震等级四级时不应小于0.20%。

7.3.19 抗震墙下两端应设置隔震支座,抗震墙交叉点下宜设置隔震支座。

7.3.20 抗震墙和开洞抗震墙下应设置转换梁,转换梁应符合下列规定:

1转换次数不宜大于3;

2梁上下纵向钢筋最小配筋率,一级和二级分别不宜小于0.6%和0.5%;

3距柱边1.5倍梁高的支座处和距洞口两侧1.5倍梁高的抗震墙洞口处箍筋应加密,箍筋直径不应小于12mm,间距不应大于100mm。加密区含箍率不应小于混凝土强度与箍筋强度比值的1.3倍。

7.3.21高层及复杂隔震结构应考虑施工阶段隔震支座在风荷载及其他荷载作用下的不利受力状态。竖向荷载作用计算时,宜考虑不同隔震支座竖向变形差异引起的结构附加内力。 

7.3.22 钢结构柱应符合下列规定:

1柱长细比应符合下列规定:

 2 上部结构底层不应采用偏心支撑,宜采用屈曲约束支撑或中心支撑。

7.3.23 隔震层的构造要求应符合本标准第5章的规定。


8  大跨屋盖建筑

8.1 一般规定

8.1.1本章适用于采用网架结构、网壳结构、立体桁架、弦支穹顶等空间网格结构或索膜等作为屋盖结构的大跨屋盖建筑。其隔震层宜设置在结构基础顶部,采用屋盖隔震的也可设置在大跨屋盖支座位置,或采用将两种隔震方案组合的形式。

8.1.2大跨屋盖建筑中的隔震支座宜采用橡胶隔震支座、摩擦摆隔震支座、弹簧隔震支座及弹性滑板隔震支座,采用其它隔震装置时应进行专门研究。

8.1.3大跨屋盖建筑采用隔震设计时除应满足本标准其它章节的规定外,还应符合下列规定:

1 大跨屋盖建筑中隔震支座的水平位移验算应考虑环境温度变化引起的变形组合;

2 采用基础隔震时,隔震装置不应承担由竖向荷载引起的水平推力,隔震装置在风荷载作用下不应受拉;

3 采用屋盖隔震时,屋盖上宜设置承受水平拉力的构件,隔震装置应进行专门的设计以抵抗竖向荷载可能引起的水平推力及风荷载作用下的拉力。

8.1.5大跨屋盖隔震建筑的地震效应宜采用空间结构有限元模型进行时程分析,分析模型宜采用包含隔震层下部支承结构的整体分析模型,宜充分考虑支承结构的影响;对于体型规则及跨度较小的平板网架结构、网壳结构、立体管桁架结构,也可采用考虑竖向地震作用的随机振动分析方法或振型分解反应谱法,并符合本标准第4章的要求。

8.1.6当体型复杂的大跨屋盖隔震建筑进行风效应计算时,风荷载宜由风洞试验确定;对于风敏感型的大跨屋盖隔震建筑,应开展专门的风振效应分析。

8.1.7 除符合本标准第8.1.1条的规定外,采用非常用结构形式以及跨度大于120m、结构单元长度大于300m或悬挑长度大于40m的大跨屋盖隔震建筑,宜对结构模型作模拟地震振动台试验,对隔震方案进行专门的研究和论证。结构模型宜考虑屋面系统、大型设备、吊挂重物、填充墙等非结构构件的影响。


8.2 隔震层设计

8.2.1 采用基础隔震时的隔震支座宜采用橡胶支座。采用屋盖隔震的大跨屋盖建筑,隔震支座应满足极罕遇地震下传递最大竖向力、水平剪力和弯矩的要求。

8.2.2抗风装置应在建筑平面内的合理位置布置,采取方便更换的措施,抗拉装置不应妨碍隔震支座的水平变形;当隔震层变形较大时,宜设置限位装置。抗风装置的布置应考虑温度作用引起的结构变形。

8.2.3同一支承处宜采用单个隔震支座。隔震支座的平面布置宜与上部结构和下部结构中竖向受力构件的平面位置相对应;采用基础隔震时,隔震支座底面宜布置在相同标高位置上。

8.2.4应验算隔震支座在温度作用下所产生的水平变形,水平刚度宜取其非线性参数,计算方法可采用静力方法。

8.2.5 隔震支座的构造应满足变形后支座斜腹杆与柱或边梁不相碰的要求。

8.2.6 隔震层的设计、构造尚应满足本标准第5章、第6章的其它要求。


8.3 大跨屋盖结构设计

8.3.1 采用隔震设计的大跨屋盖结构选型和截面验算应符合现行行业标准《空间网格结构技术规程》JGJ7-2010的要求;空间网格结构形式的大跨屋盖结构在设防烈度地震作用下的最大挠度值不宜超过表8.3.1中的容许挠度值。隔震层以上的大跨屋盖支承结构与隔震层以下结构的承载力和位移应符合本标准第4章的要求。对于设有悬挂起重设备的屋盖结构,其最大挠度值不宜大于结构跨度的1/400。

8.3.2 大跨屋盖结构应根据下部支承结构的静力稳定性验算,静力稳定性应符合现行行业标准《空间网格结构技术规程》JGJ7-2010的相关规定。

8.3.3大跨度屋盖结构中的构件承载力计算,应符合现行国家标准《建筑结构荷载规范》GB50009的相关规定,地震作用的荷载效应组合应计入环境温度的影响。

8.3.4 大跨屋盖结构的构造措施应符合下列要求:

1.隔震支座和阻尼器及其隔震装置与大跨屋盖结构之间的连接件,应能传递极罕遇地震下支座的最大竖向力、水平剪力和弯矩;

2. 外露的预埋件的防锈措施,预埋件的锚固钢筋与钢板牢固连接,应符合国家现行标准《橡胶支座 第3部分 建筑隔震橡胶支座》GB 20688.3的规定;

3. 重要大跨屋盖结构的支座节点,宜根据地震组合的有限元分析进行验算。

8.3.5大跨屋盖结构的设计和抗震验算尚应符合国家现行标准《建筑抗震设计规范》GB 50011-2010、《钢结构设计规范》GB 50017-2003、《空间网格结构技术规程》JGJ7-2010的相关规定。


8.4 支承结构和地基基础设计

8.4.1 大跨屋盖结构的支承结构、地基基础的截面抗震验算及设计应按照结构体系类别依据本标准第3-4章规定进行。

8.4.2 基础隔震的隔震层上部支承结构的抗震变形验算应符合下列规定:

1应进行设防地震、罕遇地震和极罕遇地震作用下的层间位移验算;

2在设防地震作用下层间弹性位移角限值、在极罕遇地震作用下上部结构的层间弹塑性位移角限值,应按照结构体系类别依据本标准第4章的规定进行。

8.4.3 屋盖隔震的隔震层顶部附近宜设置承受水平拉力的构件,且应符合下列规定:

1 承受水平拉力的构件应根据上部结构在竖向荷载作用下产生的水平推力及极罕遇地震作用下支座上部柱头传递的剪力和弯矩进行强度和刚度验算;

2 隔震层以上结构的抗震措施不应降低;

3 隔震支座上部附近的柱头应计算冲切和局部承压,加密箍筋并根据需要配置网状钢筋;

4 包括隔震支座和阻尼器在内的隔震装置与上部结构之间的连接件,应能传递极罕遇地震下支座的最大水平剪力和弯矩。

8.4.4 隔震层下部的支承结构和地基基础设计应满足本标准第3、4章的相关要求。


9  核电厂建筑

9.1 一般规定

9.1.1本章适用于采用橡胶隔震支座实现基底隔震的核电厂建筑。对于本章适用范围之外的其他核电厂建筑,可参考本章相关要求。除本章特殊规定之外,核电厂建筑隔震设计及隔震装置应满足本标准其他相关要求。

9.1.2核电厂隔震建筑的基本设防目标为:当遭受运行安全地震动影响时,应停堆进行安全检查,在确认核电厂保持安全功能的前提下可恢复正常运行。当遭受极限安全地震动影响时,应能确保反应堆安全停堆并维持安全停堆状态,且放射性物质外逸不超过国家限值。

9.1.3采用基底隔震技术的核电厂建筑应满足核电厂的整体安全要求。确定隔震设计方案时,应与结构的抗震设计方案进行对比分析。隔震装置及其附属建筑物的结构设计要求应不低于上部结构。

9.1.5隔震层应根据预期竖向承载力和地震响应控制要求,选择隔震装置、阻尼装置、抗风装置及其他装置。隔震装置应采用成熟的技术和产品,产品性能参数应由试验确定,并考虑使用环境对其性能的影响。隔震装置应进行竖向承载力验算和极限安全地震动、运行安全地震动作用下水平位移的验算。

9.1.6核电厂基底隔震工程适用于岩石和硬土场地,对软弱土场地的应用需做专题研究。

9.1.7隔震设计文件应注明对隔震装置的性能要求。安装前应根据设计要求由第三方对工程中采用的各种类型和规格的原型部件进行全部检测,检测的合格率应为100%。

9.1.8隔震建筑应设置地震监测与报警系统。

9.1.9 除符合本标准要求外,采用基底隔震技术的核电厂建筑设计尚应满足现行国家标准《核电厂抗震设计规范》GB50267等相关国家现行标准的要求。


9.2 隔震设计

9.2.1隔震建筑抗震设计可采用时程分析法或反应谱分析法,并应符合下列规定:

1隔震建筑采用时程分析法进行地震作用效应计算时,地震动时程应满足现行《核电厂抗震设计规范》GB50267要求;

2上部结构地震作用计算宜采用反应谱法,橡胶隔震支座的性能参数应采用等效刚度及等效黏滞阻尼比;

3 隔震建筑计算时,上部结构可采用三维实体模型,亦可采用质点—梁简化模型;对呈现明显非线性特征的橡胶隔震支座应考虑其非线性特性,采用试验滞回曲线作为计算参数。

9.2.2橡胶隔震支座在重力荷载代表值下的竖向压应力设计值应满足表9.2.2要求。

9.2.4隔震层应有充分的抗风承载力,隔震支座、阻尼装置和抗风装置的总水平屈服荷载设计值,应大于风荷载作用下隔震层总水平剪力标准值的1.7倍。

9.2.5 橡胶隔震支座在极限安全地震作用下的最大水平位移应小于支座橡胶层总厚度的1.3倍,且小于300mm。

9.2.6 在极限安全地震动下隔震层的布置和构造除应满足本标准第4.6节、第5章的相关要求外,尚应符合下列规定:

1上部结构及隔震层部件应与周围固定物脱开,设置隔离缝,水平方向缝宽不应小于隔震层极限安全地震下最大水平位移计算值的2倍,且不应小于300mm;

2橡胶隔震支座的防火、防腐蚀等潜在灾害防护措施,尚应符合国家现行标准《橡胶支座 第3部分 建筑隔震橡胶支座》GB 20688.3的规定。

9.2.7核电厂隔震建筑上部结构的总水平地震作用不应低于抗震结构在水平方向极限安全地震动加速度峰值为0.15g对应的总水平地震作用。上部结构的截面验算应按现行国家标准《核电厂抗震设计规范》GB50267的规定进行。上部结构在极限安全地震作用下层间位移角宜小于0.001。

9.2.8核电厂隔震建筑隔震层下部结构基础宜选用筏板基础。地基和基础的抗震验算应按现行国家标准《核电厂抗震设计规范》GB50267的要求进行,且应符合下列规定:

1 隔震层下基础板及支承橡胶隔震支座的支墩或支柱应具有足够的强度和刚度,支承橡胶隔震支座的支墩或支柱高度的设置应便于支座的更换;

2 隔震层支墩或支柱及相连构件,应采用隔震建筑在极限安全地震动作用下橡胶隔震支座底部的竖向力、水平力和力矩进行承载能力验算。支墩或支柱设计应计入隔震层P-Δ效应产生的附加弯矩;

3 橡胶隔震支座上、下部柱头应设置防止局部受压的钢筋网片;橡胶隔震支座和隔震层上、下部基础之间的连接件,应能传递极限安全地震动下支座的最大水平剪力和弯矩,外露预埋件应有可靠的防锈措施,预埋件的锚固钢筋应与钢板牢固连接。


9.3楼层反应谱

9.3.1 楼层反应谱可由主结构相应楼层或标高的地震加速度反应时程计算得出;楼层反应谱应包括两个正交水平方向的谱和一个竖向谱。

9.3.2 计算楼层反应谱时,频率增量宜按表9.3.2采用。

9.3.3 设计楼层反应谱的确定和使用应符合下列规定:

1应根据地震动和结构参数的不确定性,对计算楼层反应谱在每个频率点的加速度值进行拓宽,拓宽范围可取该频率点的±15%;

2 设计楼层反应谱应是平滑化的反应谱;

3隔震建筑的楼层反应谱应考虑设备抗震设计的要求。


9.4 隔震层的要求

9.4.1橡胶隔震支座应满足型式检验要求,在工程中安装使用之前,其基本性能应满足出厂检验要求。支座性能除满足本标准第6章及相关产品标准外,尚应符合下列规定:

1单个支座试件压缩刚度的测试值与设计值的误差比不应超过±20%,一批试件的测试平均值与设计值的误差相比不应超过±10%。单个支座试件的水平性能测试值与设计值的误差相比不应超过±10%;

2支座竖向压缩变形不应大于5.0mm;直径600mm及以下支座的侧向不均匀变形不应大于3.0mm;直径600mm以上支座侧向不均匀变形不应大于5.0mm;卸载12小时后的残余变形不应大于上述数值50%;

3 对于极限剪切性能,当设计压应力为15Mpa时,支座水平极限变形不应小于400%。

9.4.2橡胶隔震支座应进行耐火性能实验,其性能应符合国家现行相关标准的规定。对于高寒地区或使用环境温度过低的橡胶隔震支座,应根据需要补充相应的低温试验。

9.4.3 橡胶隔震支座的形状系数S1不宜小于30.0,S2不宜小于5.0。

9.4.4 橡胶隔震支座尺寸偏差应满足现行国家标准《建筑隔震橡胶支座》GB20688.3要求。

9.4.5隔震层与外界的连接管线应采用柔性连接或其它有效措施,应满足隔震层在极限安全地震震动下的水平位移要求。


9.5橡胶隔震支座的检验规则

9.5.1橡胶隔震支座的型式检验和出厂检验除应满足本标准第6章要求外,尚应符合下列规定:

1应用于核电厂建筑的各种规格、类型的橡胶隔震支座均应进行型式检验,并满足本标准9.4.1条相关要求;

2橡胶隔震支座应全部进行第三方出厂检验。应考虑地震荷载组合最大计算压应力下的水平极限应变试验,抽样数量为每种类型支座不少于1个,进行过极限性能检验的样本支座不能在工程中使用。当设计有其他要求时,尚应进行相应的检验;

3支座在运输、贮存过程中如遭遇可能影响支座性能的事件时,应再次进行出厂检验,检测的抽样数量可由设计方确定。

9.5.2应用于核电厂建筑的支座应全部进行进场验收,验收应包括出厂合格证明文件检查、外观质量和尺寸偏差检查。当设计有其他要求时,尚应进行相应的检验。


9.6地震监测与报警

9.6.1 采用基底隔震的核电厂应设置包括三轴向加速度传感器、位移传感器、记录器、中心处理系统和报警单元在内的地震监测与报警系统,能正确监测记录核电厂自由场地震动、隔震层震动和典型重要抗震物项的地震反应,并能发布报警信号。

9.6.2 基底隔震核电厂地震监测与报警系统设备的布设应符合下列规定:

1 核电厂自由场地和上部结构加速度传感器的位置、数量及锚固要求应符合现行国家标准《核电厂抗震设计规范》GB50267的规定;

2 隔震结构应在基础、隔震层和上部结构设置加速度传感器。隔震层测点宜设置在隔震层关键部位,且基础、隔震层、上部结构应至少有两组相对应的测点;

3 采用基底隔震技术的核电厂建筑记录器、中心处理系统和报警单元的设置应符合现行国家标准《核电厂抗震设计规范》GB50267规定,且宜采用同一套监测系统进行隔震层监测与建筑物监测。

9.6.3 三轴向加速度传感器、记录器、中心处理系统和报警单元的性能指标应符合现行国家标准《核电厂抗震设计规范》GB50267规定。

9.6.4 地震监测报警系统的设备维护和检修应符合现行国家标准《核电厂抗震设计规范》GB50267规定。


10  多层砌体房屋

10.1 一般规定

10.1.1 本章适用于烧结、蒸压、混凝土等普通砖、烧结、混凝土等多孔砖和包括配筋混凝土空心砌块在内的混凝土小型空心砌块等砌体承重的多层房屋、底层或底部两层框架-抗震墙砌体房屋的隔震设计。

10.1.2 多层砌体房屋和底部框架-抗震墙房屋采用隔震设计时,应符合下列规定:

1隔震建筑的层数、总高度和最大高宽比,甲类、乙类建筑不超过抗震结构相应设防烈度的要求,丙类建筑,且隔震结构的底部剪力比不大于0.5时,可取不超过抗震结构相应设防烈度降低一度的要求;

2隔震建筑应优先采用横墙承重或纵横墙共同承重的结构体系;当隔震结构的底部剪力比不大于0.5时,抗震墙最小厚度、层高、纵横墙的布置、横墙间距和墙段的局部尺寸限值可适当放宽10%,且不应超过抗震结构相应设防烈度降低一度的要求;

3隔震层宜设置在基础或地下室结构与上部首层结构之间;对于底层或底部两层框架-抗震墙结构,当框架-抗震墙部分不超过建筑物总高度的三分之一时,隔震层可设置在框架-抗震墙顶部。

10.1.3 底部框架-抗震墙砌体房屋采用基础隔震设计时,除应满足本标准第10.1.2条的规定外,底层框架-抗震墙砌体房屋的纵横两个方向,第二层计入构造柱影响的侧向刚度与底层侧向刚度的比值,6、7度时不应大于2.0,8度时不应大于1.5,且均不应小于1.0;底部两层框架-抗震墙砌体房屋纵横两个方向,底层与底部第二层侧向刚度应接近,第三层计入构造柱影响的侧向刚度与底部第二层侧向刚度的比值,6、7、8度时不应大于1.5,且均不应小于1.0。

10.1.4 多层砌体房屋和底部框架-抗震墙房屋的长度超过伸缩缝最大间距限值,或体型复杂、平立面不规则时,应根据建筑物长度、结构不规则程度、地基基础条件和隔震层的情况,不宜设缝或少设缝。当设置防震缝时,应符合下列规定:

1防震缝贯通隔震层顶部的楼板,两相邻隔震结构的缝宽不宜小于各隔震支座在罕遇地震作用下最大水平位移值之和的1.2倍,且不应小于500mm;

2隔震层顶部楼板不设防震缝的楼板,仅上部结构设置防震缝,缝宽应根据烈度和房屋高度确定,可采用70mm~100mm。


10.2 隔震层设计

10.2.1 多层砌体房屋和底层框架-抗震墙砌体房屋的隔震层设计应满足本标准第4.6节的相关要求。

10.2.2 多层砌体房屋的隔震层布置尚应符合下列规定:

1外墙四角和对应转角部位的基础顶部应布置隔震支座,其余位置的隔震支座应结合隔震层顶部梁受力和隔震支座受力的情况合理布置;

2当隔震层位于地下室顶部时,隔震支座不宜直接放置在砌体墙上;否则应验算墙体的局部承压;

3 隔震层顶部纵、横梁的构造应符合底部框架-抗震墙房屋的钢筋混凝土托墙梁的要求。

10.2.3 底部框架-抗震墙房屋的隔震支座布置,宜设置在框架柱下、抗震墙两端和抗震墙交叉点;当采用层间隔震时,隔震层布置要求与多层砌体房屋相同。

10.2.4 多层砌体房屋和底层框架-抗震墙砌体房屋隔震设计应按设防地震作用进行结构的承载力计算;底部框架-抗震墙砌体房屋,尚应按罕遇地震进行底部框架-抗震墙部分的变形验算,当采用基础隔震时,底部框架-抗震墙部分的层间弹塑性位移角限值应符合本标准第4.5节要求,当采用层间隔震时,底部框架-抗震墙部分的层间弹塑性位移角限值应符合本标准第4.7节的要求。

10.2.5 多层砌体房屋和底部框架-抗震墙砌体房屋的隔震设计可采用底部剪力法进行计算分析,对具有下列情况之一的,尚应采用振型分解反应谱法或时程分析方法作补充计算:

1 甲、乙类建筑;

2 层间隔震结构;

3 房屋平面或竖向不规则;

4 多塔结构。


10.3结构设计

10.3.1 底部框架-抗震墙砌体房屋采用基础隔震设计时,底部框架-抗震墙砌体房屋的地震作用效应,应按抗震结构的相关规定调整,上部砌体结构按本章的规定进行设计;当采用层间隔震设计时,下部结构可采用框架,尚应符合本标准第4.7节的有关规定。

10.3.2 多层砌体结构的和底部框架-抗震墙砌体房屋抗震验算应按本标准第4.4节的相关规定进行,对于砌体结构和采用层间隔震的底部框架-抗震墙砌体房屋,关键构件为隔震层梁和隔震层以上的首层墙体,对于采用基础隔震的底部框架抗震墙砌体房屋,关键构件为底部框架-抗震墙和第二层的墙体,对于采用基础隔震的底部两层框架-抗震墙砌体房屋,关键构件为底部两层框架-抗震墙和第三层的墙体,当需要进行竖向地震作用下的抗震验算时,砌体抗震抗剪强度的正应力影响系数,宜按减去竖向地震作用效应后的平均压应力取值。

10.3.3 多层砌体房屋的隔震层顶部梁可按单跨简支梁或多跨连续梁计算,并按底部框架砌体房屋的钢筋混凝土托墙梁的规定确定竖向荷载,同时应考虑设防烈度的水平地震作用。当上部结构需要考虑竖向地震作用时,尚应计入竖向地震作用。6,7,8,9度时隔震层顶部梁抗震等级应分别为三、三、二、一级。

10.3.4 隔震层顶部楼板宜采用整体钢筋混凝土梁板式楼板,板厚不宜小于160mm;应采用双排双向配筋;应少开洞、开小洞,当洞口尺寸大于800mm时,洞口周边应设置边梁。

10.3.5 当底部剪力比不大于0.5时,乙、丙类建筑隔震后上部结构的抗震构造措施可按抗震结构相应设防烈度降低一度的相应要求。

10.3.6 多层砌体结构和底部框架-抗震墙结构的隔震层下部结构设计,应满足本标准第4.7节的相关要求。

10.3.7 多层砌体结构和底部框架-抗震墙结构的地基及基础设计,应满足本标准第3.2节的相关要求。


11  既有建筑和历史建筑的隔震加固设计

11.1 一般规定

11.1.1本章适用于经鉴定不满足抗震设防要求的既有建筑及历史建筑的隔震加固。

11.1.2 既有建筑及历史建筑在隔震加固设计前,应收集原结构的设计、施工、检测鉴定及相关资料,掌握结构现状,了解建筑周边环境条件。应根据抗震设防类别、结构类型、环境条件和功能需求,施工条件等,合理选择隔震加固方案。

11.1.3既有建筑加固后的后续使用年限,宜由结构现状及加固后的使用功能确定,且应符合下列规定:

1  既有建筑后续使用年限不得少于建筑剩余使用年限,且应符合下列规定:

1)剩余使用年限不大于30年的建筑,后续使用年限不得少于30年;

2)剩余使用年限为大于30且不大于40年的建筑,后续使用年限不得少于40年;

3)剩余使用年限大于40年的建筑,后续使用年限宜采用50年。

2  后续使用50年的建筑,应符合现行国家标准《建筑抗震设计规范》GB 50011的要求。

11.2.4 既有建筑的隔震加固应采用加强结构抗震整体性的构造措施。历史建筑进行隔震加固宜使上部结构不做明显改动。

11.1.5  采用隔震技术加固的既有建筑与历史建筑除应符合本标准外,尚应符合国家现行标准的相关规定。


11.2 既有建筑的隔震加固设计

11.2.1采用隔震加固的既有建筑,应按本标准第4.1~4.3节的规定计算其水平及竖向地震作用。

11.2.2结构构件在地震设计状况下的承载力应按下式验算:

11.2.3  对于后续使用年限为50年的隔震加固结构,其材料性能设计指标、地震作用效应、结构构件承载力抗震调整系数均应按国家现行标准的相关规定执行;对于后续使用年限少于50年的隔震加固结构,其设计特征周期、原结构构件的材料性能设计指标、地震作用效应调整等应按现行国家标准《建筑抗震鉴定标准》GB 50023-2009的规定采用,结构构件的承载力抗震调整系数应采用下列抗震加固的承载力调整系数替代:

1  A类建筑加固后的构件应依据其原有构件按现行国家标准《建筑抗震鉴定标准》GB 50023规定的抗震鉴定的承载力调整系数值采用;新增钢筋混凝土构件、砌体墙体可仍按原有构件对待;

2  B类建筑宜按现行国家标准《建筑抗震设计规范》GB 50011-2010的承载力抗震调整系数值采用。

11.2.4 既有建筑隔震后的抗震措施可按底部剪力比及相应地震烈度确定,并应符合下列规定:

1  建筑隔震结构底部剪力比大于0.5时,隔震结构应按原设防烈度、按现行国家标准《建筑抗震设计规范》GB 50011-2010采取抗震措施;

2  建筑隔震结构底部剪力比不大于0.5且大于0.25时,隔震层以上结构,可适当降低按原设防烈度采取的抗震措施,但烈度降低不得超过1度。隔震层以下结构,应按原设防烈度、按现行国家标准《建筑抗震设计规范》GB 50011-2010采取抗震措施;

3  建筑隔震结构底部剪力比不大于0.25时,隔震层以上结构,可适当降低按原设防烈度采取的抗震措施,但烈度降低不得超过2度。隔震层以下结构,仍按原设防烈度、按现行国家标准《建筑抗震设计规范》GB 50011-2010采取抗震措施。

11.2.5 既有建筑经隔震加固,按本标准第11.2.4条进行调整后,应满足按现行国家标准《建筑抗震鉴定标准》GB 50023-2009的变形、承载能力及抗震措施规定。有特殊要求的,可提出更高的性能设计目标。

11.2.6  既有建筑周边存在邻近建筑时,其净距应满足本标准第5.3.1条的变形要求;不满足时可采用局部切割、平移或设置消能阻尼限位装置等方式。

11.2.7上部结构的竖向荷载应通过隔震层有效地传递给下部结构及基础。对于承重墙体、填充墙体及带有构造柱的墙体托换,可选择钢筋混凝土单梁或双夹梁托换。对于框架柱的荷载托换,可选择钢筋混凝土托换节点或型钢混凝土托换节点,并与原框架柱通过植筋、后浇混凝土等措施有效传递剪力。托换梁或节点应与隔震层楼板形成整体。

11.2.8 当原基础埋深较浅不便于隔震层设置时,可采用变截面梁或增设支点的方式。

11.2.9 隔震层楼板宜在同一标高,存在错层时,应加强错层部位的构造措施。多栋单体整体隔震时,连接两个单体的隔震层应做局部加强。

11.2.10 隔震加固时,应考虑上部结构及隔震层的荷载变化,以及传力途径的改变,并对原有地基基础进行承载力复核。


11.3 历史建筑的隔震加固设计

11.3.1  历史建筑的隔震设计应根据结构在设防地震和罕遇地震作用下的变形和应力等性能指标,对结构的抗震能力做综合评价。

11.3.2 历史建筑的安全等级应根据保护的重要性划分,并应符合表11.3.1的规定。

11.3.3 历史建筑隔震加固的荷载取值应符合下列规定:

1 永久荷载应按现行荷载规范执行或按建筑用料实测值,荷载分项系数应取1.1;

2一级建筑加固的可变荷载,应按现行国家标准《建筑结构荷载规范》GB50009-2015确定;二级建筑加固的可变荷载,应按现行现行国家标准《建筑结构荷载规范》GB50009-2015基本组合的标准值确定,荷载分项系数不应小于1.1;三级建筑加固的可变荷载,当有可靠的控制措施时,按实际使用荷载确定,但可变荷载不得低于现行规范标准值的80%,荷载分项系数不应小于1.0。

11.3.4  当原结构整体或局部存在倾斜时,应根据其安全等级、倾斜量及发展稳定性,判断其对整体安全和使用功能的影响,可在隔震加固前采用纠偏处理。

11.3.5  历史建筑中的砖墙,宜采用双夹梁式托换方式;木柱可采用抱箍式托换,钢筋混凝土柱可采用钢筋混凝土或型钢混凝土托换节点,并应控制托换结构的高度。

11.3.6  历史建筑经隔震加固后尚应加强对隔震层及上部结构的观测。


12.1 一般规定

12.1.1 本章适用于采用简易隔震支座作为隔震层的村镇民居房屋的隔震设计。

12.1.2 村镇民居建筑结构高宽比,6、7度不宜大于2.0,8度不宜大于1.5,9度不宜大于1.0;高宽比大于上述规定的结构采用隔震设计时,应进行专门研究。


12.2 房屋隔震设计要点

12.2.1 村镇民居建筑隔震设计时,上部结构的总水平地震作用可采用简化计算方法,且应符合下列规定:

1隔震层顶部的梁板结构,应作为其上部结构的一部分进行计算和设计;

2村镇民居建筑隔震后,上部结构的水平地震作用应根据烈度、特征周期分区、场地类别和隔震后体系的基本周期,按设防地震作用计算确定。隔震后体系的基本周期宜按下式计算确定:

12.2.2 采用简易隔震支座应符合下列规定:

1简易隔震支座罕遇地震下的水平位移值不应超过支座有效边长的0.5倍;

2简易隔震支座在重力荷载代表值的竖向压应力不应超过5MPa,当简易隔震支座的骨架板材料采用钢板并与结构有可靠连接时可提高压应力限值20%。

3简易隔震支座的第二形状系数不应小于3,不宜小于4,边长或直径不应小于200mm,支座形状采用圆形或矩形。

12.2.3 当简易隔震结构的阻尼比取0.05时,特征周期应根据场地类别和设计地震分组按国家标准《建筑抗震设计规范》 GB50011-2010中表5.1.4-2采用,隔震后的水平地震影响系数可按下式计算:

12.2.4 村镇民居的隔震设计可按下列步骤进行:

1 计算上部结构的重力荷载代表值;

2 应根据村镇民居的设防烈度、建筑面积、层数和墙体布置,初步估算所需简易隔震支座的数量;

3 按照本标准第12.2.1条计算村镇民居的基本周期; 

4 计算地震影响系数的阻尼调整系数和衰减指数;

5 计算隔震后的水平地震影响系数;

6 计算罕遇地震下的隔震层位移;

7 当简易隔震支座满足以上要求,可确定简易隔震支座最终布置方案。

12.2.5 村镇民居的隔震层应设置在上部结构与基础之间,隔震层上下应设置钢筋混凝土圈梁。隔震支座宜设置在受力较大的位置,其规格、数量和分布,应根据竖向承载力、侧向刚度和阻尼的要求通过设防地震作用计算确定。隔震层在罕遇地震作用下,不宜出现拉应力。隔震支座的布置和选型应符合下列规定:

1 隔震支座应布置在纵横向承重墙的交接处、独立柱和构造柱下及其他需要设置隔震支座的部位;

2 上部结构的质心与隔震层刚度中心应尽量重合。


12.2.6 村镇民居隔震房屋的隔震措施应符合下列规定:

1 隔震支座应设置在基础与上部钢筋混凝土圈梁之间;

2 村镇民居隔震构造措施应保证地震时隔震层能发生相对位移。隔震支座周围300mm内不应有任何阻挡物体;隔震层上部结构与下部结构应设水平隔离缝,缝宽不应小于10mm;隔震结构与局部抗震结构应脱开,上部结构悬挑部分应与室外地面脱开;通过隔震层的管线应采用柔性连接;

3 若室内外高差较大,隔震层位置高于室外地面标高,不宜设置竖向隔震沟;若室内外高差较小,隔震层设置在室外地面标高以下,则沿建筑物四周均应设置一道竖向隔震沟,且宽度不应小于300mm;

4 当简易隔震支座与下部结构、上部结构的圈梁无连接时,可采取简易限位措施。当简易隔震支座与下部结构、上部结构的圈梁有连接时,可不增加限位措施;

5 村镇民居隔震房屋外部的抗震楼梯与隔震主体结构应脱开;

6 穿越隔震层上下的水管采用软管;穿越隔震层的电气、避雷、通信系统的配线应采用绕曲柔性连接,并应留有大于300mm的多余长度;

7 隔震层宜铺置厚度不低于30mm的砂垫层,砂垫层上宜铺防雨彩条布。简易隔震支座四周应用柔性泡沫材料填充;

8 隔震层底部及四周应做好排水措施。

12.2.7 村镇民居使用的简易隔震支座应提供出厂检验报告。


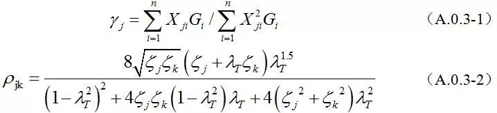
附录A复振型影响系数计算公式

A.0.1 复振型分解反应谱法中第j阶振型向量和参与系数可按下式计算:


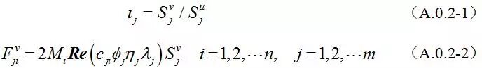
A.0.2第j振型水平地震作用效应的非比例阻尼影响参数,应为由非比例阻尼引入的速度项地震作用效应与表示效应的比值向量,第j阶振型向量中第i个分量速度项地震作用可按下式计算:


A.0.3 采用强迫解耦实振型分解反应谱法进行地震作用及其效应计算方法,第j阶振型i质点的水平地震作用计算按本标准公式(4.3.2-1)和(4.3.2-3)计算,效应组合按本标准公式(4.3.2-2)和(4.3.2-4)计算。振型参与系数、耦联系数应按下列公式计算:


附录B 隔震建筑抗震性能设计

B.0.1隔震建筑抗震性能设计应分析隔震结构方案的特殊性、选用适宜的结构抗震性能目标,并采取满足预期的抗震性能目标的措施。

隔震结构抗震性能目标应根据表B.0.1的规定,综合考虑抗震设防类别、设防烈度、场地条件、隔震层设置和结构的特殊性等各项因素选定。结构抗震性能目标设为A、B、C、D四个等级,结构抗震性能应符合本标准表B.0.2的规定,每个性能目标均与一组在指定地震地面运动下的结构抗震性能水准相对应。


B.0.2结构抗震性能水准可按下表进行宏观判别。

C    1 第1性能水准的结构应满足弹性设计要求,在设防地震或预估的罕遇地震作用下,结构构件的抗震承载力应符合下式规定,地震设计状况时荷载和作用的分项系数按表B.0.3取值:


2 第2性能水准的结构在设防地震作用下,关键构件抗震承载力应符合本标准式(B.0.3-1)的规定;普通竖向构件的受剪承载力应符合本标准式(B.0.3-1)的规定,其正截面承载力应符合式(B.0.3-2)的规定,8度及9度抗震设计时,水平长悬臂结构和大跨度结构中的关键构件正截面承载力尚应符合式(B.0.3-3);耗能构件的受剪承载力应符合式(B.0.3-2)的规定,其正截面承载力应符合式(B.0.3-4)的规定:

式中:RK——构件承载力标准值,按材料强度标准值计算。

3 第3性能水准的结构在设防地震或预估的罕遇地震下,关键构件及普通竖向构件的受剪承载力应符合本标准式(B.0.3-1)的规定,其正截面承载力应符合本标准式(B.0.3-2)的规定,8度及9度抗震设计时,水平长悬臂结构和大跨度结构中的关键构件及普通竖向构件正截面承载力尚应符合本标准式(B.0.3-3)的规定;耗能构件受剪承载力应符合本标准式(B.0.3-2)的规定,其正截面承载力应符合本标准式(B.0.3-4)的规定。

4 第4性能水准的结构应进行弹塑性计算分析。在预估的罕遇地震作用下,关键构件的抗震承载力应符合本标准式(B.0.3-2)的规定,8度及9度抗震设计时,水平长悬臂结构和大跨度结构中的关键构件抗震承载力尚应符合本标准式(B.0.3-3)的规定;普通竖向构件的受剪承载力应符合本标准式(B.0.3-2)的规定,8度及9度抗震设计时,水平长悬臂结构和大跨度结构中的普通竖向构件受剪承载力尚应符合本标准式(B.0.3-3)的规定;部分耗能构件进入屈服阶段。

5 第5性能水准的结构应进行弹塑性计算分析。在预估的罕遇地震作用下,关键构件的受剪承载力应符合本标准式(B.0.3-2)的规定,8度及9度抗震设计时,水平长悬臂结构和大跨度结构中的关键构件受剪承载力尚应符合本标准式(B.0.3-3)的规定;部分竖向构件进入屈服阶段,但同一楼层的竖向构件不应全部屈服,且竖向构件的受剪截面应符合式(B.0.3-5)或(B.0.3-6)的规定;大部分耗能构件进入屈服阶段。

附录C隔震支座连接设计

C.0.1橡胶隔震支座水平变形后,隔震支墩及连接部位(图C.0.1)的附加弯矩应按下式计算:


C.0.2 隔震支墩混凝土局部受压最大压应力应按C.0.2计算,隔震支墩有效混凝土柱截面应力分布符合图C.0.2:


C.0.3隔震支座连接螺栓强度验算应按下列公式计算,连接螺栓受力应符合图C.0.3的规定:



C.0.4隔震支座预埋件设计(图C.0.4),与连接螺栓相连锚杆强度、与连接螺栓相连锚杆的锚固长度以及预埋板中部栓钉受剪承载力应按C.0.4计算:

图C.0.4 预埋件受力情况


附录D隔震支座力学分析模型和基本力学性能要求

D.0.1环境温度为23°C天然橡胶隔震支座滞回模型(图D.0.1)的水平刚度设计值可按下式进行计算:


附录E既有建筑加固墙体和柱的托换方法

E.0.1双夹梁墙体托换及隔震支座安装宜符合图E.0.1-1,双夹梁构造柱托换及隔震支座安装宜符合图E.0.1-2,单梁墙体托换及隔震支座安装宜符合图E.0.1-3,单梁构造柱下隔震支座安装宜符合图E.0.1-4,钢筋混凝土框架柱托换及隔震支座安装宜符合图E.0.1-5,型钢混凝土框架柱托换及隔震支座安装宜符合图E.0.1-6。

图E.0.1-1  双夹梁墙体托换及隔震支座安装示意图

1—隔震支座;2—连接螺栓;3—连接板(上);4—预埋钢板(上);5—上支墩;6—连接板(下);7—预埋钢板(下);8—下支墩;9—上托换梁;10—下托换梁;11—原墙体;12—销键梁


图E.0.1-2  双夹梁构造柱托换及隔震支座安装示意图

1—隔震支座;2—连接螺栓;3—连接板(上);4—预埋钢板(上);5—上支墩;6—连接板(下);7—预埋钢板(下);8—下支墩;9—上托换梁;10—下托换梁;11—原构造柱;12—原墙体;13—销键梁



图 E.0.1-3  单梁墙体托换及隔震支座安装示意图

1—隔震支座;2—连接螺栓;3—连接板(上);4—预埋钢板(上);5—上支墩;6—连接板(下);7—预埋钢板(下);8—下支墩;9—上托换梁;10—下托换梁;11—原墙体


图 E.0.1-4  单梁构造柱下隔震支座安装示意图

1—隔震支座;2—连接螺栓;3—连接板(上);4—预埋钢板(上);5—上支墩;6—连接板(下);7—预埋钢板(下);8—下支墩;9—上托换梁;10—下托换梁;11—原构造柱;12—原墙体


1—隔震支座;2—连接螺栓;3—连接板(上);4—预埋钢板(上);5—上支墩;6—连接板(下);7—预埋钢板(下);8—下支墩;9—包柱梁;10—所植钢筋;11—原框架柱


1—隔震支座;2—连接螺栓;3—连接板(上);4—预埋钢板(上);5—上支墩;6—连接板(下);7—预埋钢板(下);8—下支墩;9—抗剪棒;10—型钢;11—混凝土;12—原框架柱;13—连接型钢


E.0.2 对隔震层超过原结构首层标高的隔震层,可考虑采用变截面梁或增设支点的方式以减小隔震层截面高度。变截面梁脱换宜符合图E.0.2-1,梁跨中增设支点的宜符合图E.0.2-2。

图E.0.2-1  变截面梁托换示意图

1—隔震支座;2—连接螺栓;3—连接板(上);4—预埋钢板(上);5—上支墩;6—连接板(下);7—预埋钢板(下);8—下支墩;9—上托换变截面梁;10—下托换变截面梁;11—原上部结构


1—上部结构;2—托换梁;3—隔震层梁;4—隔震支座;5—增设支点处的隔震支座


引用标准名录

1《建筑工程抗震设防分类标准》GB 50223

2《建筑抗震设计规范》 GB50011

3《建筑结构荷载规范》GB 50009

4《中国地震动参数区划图》GB 18306

5 《建筑钢结构防腐蚀技术规程》JGJ/T 251-2011

6《橡胶支座 第3部分 建筑隔震橡胶支座》GB 20688.3

7《混凝土结构设计规范》GB 50010

8《建筑工程容许振动标准》GB50868

9《空间网格结构技术规程》JGJ7-2010

10《钢结构设计规范》GB 50017-2003

11《核电厂抗震设计规范》GB50267

12《建筑抗震鉴定标准》GB 50023

16《高层建筑混凝土结构技术规程》JGJ3

17《橡胶支座 第5部分:建筑隔震弹性滑板支座》 GB 20688.5

18《建筑消能阻尼器》JG/T 209